Skip to content

에너지 물질

CAMECA는 그린 에너지와 조명 분야에서의 혁신을 지원합니다. 특히 SIMS와 APT는 PV 및 LED 장치에서 다양한 조성의 레이어 간 날카로운 계면 전환을 최적화하고, 도펀트의 심층분석을 모니터링하고, 화합물의 전기적 특성에 영향을 미치는 바람직하지 않은 오염물을 제어하는 데 사용됩니다.
  • Dopant monitoring in LEDs with SIMS
    LED 디바이스의 도펀트 모니터링(SIMS)

    CAMECA SIMS 장비는 조성을 조사하고 다양한 층에서 도펀트 및 불순물의 원소 분포를 특성화 분석하는 데 매우 유용하여 새로운 LED 디바이스의 연구 및 개발과 공정 제어에 최상의 선택입니다.

    Keep Reading
  • Purity control in PV Si feedstock
    PV Si 공급원료의 순도 제어(SIMS)

    IMS 7f-Auto는 Si 기반 태양 전지 디바이스의 고수율 제조를 보장하는 데 반드시 필요한 Si 정제 공정의 품질 관리에 적합한 장비입니다.

    Keep Reading
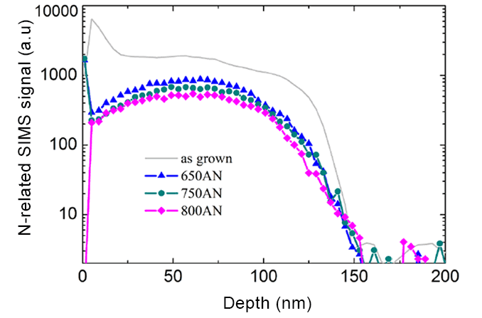
  • SIMS depth profiling of Nitrogen doping in Cu2O
    에너지 및 촉매 물질(SIMS)

    질소 플라즈마로 도핑된 아산화구리(Cu2O) 필름의 SIMS 질소 농도 깊이 프로파일은 저비용 태양 에너지 변환 및 광촉매에 사용되는 해당 물질의 전도성을 향상시키는 데 도움이 됩니다.

    Keep Reading
  • CIGS thin film solar cells
    CIGS 박막 태양 전지(SIMS)

    Dynamic SIMS 장비는 다양한 GIGS 박막의 원소 심층 분석(매트릭스 종 및 알칼리 금속 Na 및 K)을 특성화 분석하는 데 매우 적합합니다.

    Keep Reading