Skip to content

에너지 및 촉매 물질(SIMS)

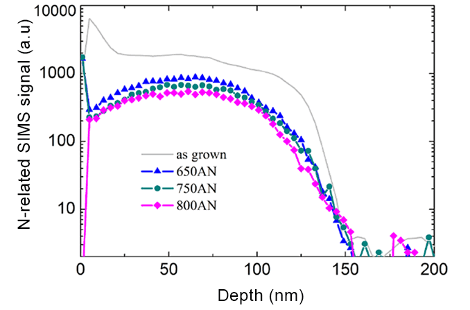
SIMS depth profiling of Nitrogen doping in Cu2O

p형 반도체인 아산화구리(Cu2O)는 오랫동안 저비용 태양 에너지 변환 및 광촉매에 전도유망한 물질로 간주되었습니다. Cu2O의 질소 도핑은 높은 저항이라는 Cu2O의 주요 단점을 극복할 수 있는 엄청난 잠재력을 지녔기 때문에 중요한 연구 주제입니다. 그러나 질소 도핑이 Cu2O에 미치는 영향에 대해서는 여전히 논란이 있으며 아직 이에 관한 포괄적인 이해에 도달하지 못했습니다.

이 연구는 Cu2O의 질소 도핑에 관한 비교 연구에 대해 보고합니다. 질소 플라즈마로 도핑된 Cu2O:N 막의 SIMS 질소 농도 깊이 프로파일은 (i) 막으로의 질소 혼입, (ii) 어닐링 동안 점진적인 확산을 보여줍니다. 이 결과는 Cu2O:N의 전도도를 향상시키기 위해서는 도핑 수준을 높이거나/높이고 어닐링 공정을 최적화하여 활성화와 외부 확산 공정의 균형을 맞추어야 함을 암시합니다.

IMS 7f-Auto 장비는 높은 분석 처리량을 유지하면서 뛰어난 감도와 우수한 깊이 분해능으로 미량 원소(가벼운 원소 포함)의 심층 분포를 제공합니다. 이 장비는 일상적으로 새로운 반도체 장치 개발에 중요한 확산-분리 공정에 사용됩니다.

IMS 7f에서 수집된 데이터, Univ. Oslo(Norway). 출처: J. Li et al. NATURE Scientific Reports 4, 7240 (2014).